In its most recent Democracy assessment, the V-Dem (Varieties of Democracy) Institute ranked India in the top ten autocratic countries in the world. Continuing with baseless anti-India propaganda by western organisations, they have also stated that the country’s democratic orientation will deteriorate.
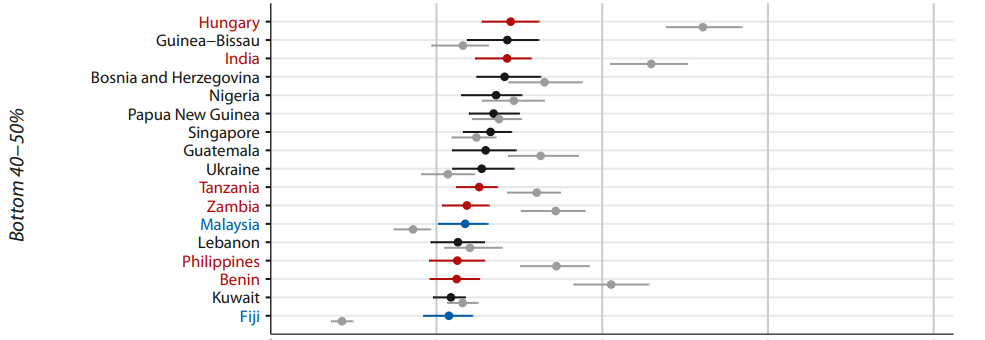
According to the Swedish Institute’s research, India is in the bottom 40% to 50% of countries on V-Dem’s Liberal Democracy Index (LDI). According to the research, 15 nations are seeing a fresh wave of democratization, while 32 countries are experiencing autocracy. Last year, the institute classified India as an “electoral autocracy.”

According to the latest report titled Democracy Report 2022: Autocratisation Changing Nature, anti-pluralist parties are pushing autocracy in India. As per the research, polarization is on the rise in India and the country has been ranked 93rd on the Liberal Democracy Index.

V-Dem Institute and the Democracy Report
V-Dem is for Varieties of Democracy, and the Institution was created in 2014 by Professor Staffan I. Lindberg as an independent research organization. It promises to be a new way of thinking and assessing democracy. It provides a variety of studies that rate the countries on a variety of topics.
The Democracy Report is one among the reports published by V-Dem. V-Dem claims to be able to measure hundreds of distinct aspects of democracy and to open up new avenues for research into the nature, causes, and outcomes of democracy in all of its facets.
They also produced a report last year in which they branded India as an electoral autocracy. According to V-Dem, India had ‘lost’ its status as an electoral democracy and had devolved into an electoral autocracy.
Despite brutally shutting down the democratic protests by truckers, Canada is a ‘liberal democracy’ according to V-Dem, but India is autocratic even after the govt had allowed illegal protests by so called farmers to go on for more than a year and had agreed to all of their demands at the end. India is electoral autocracy, even though several states in the country are ruled by non-NDA parties, and they have defeated BJP in various elections after Modi govt came to power. This shows how biased and anti-India this report is.
Who funds V-Dem Institute?
As the V-Dem institute is an independent research organization, they are funded by many other institutions and governments. The contributors of funds to the institute ranges from Canadian International Development Agency to the World Bank Group.
Surprisingly, the Open Society Foundation, which is led by George Soros, also funds the institute. Soros is a self-proclaimed philanthropist and Hungarian-American investor who has sworn to ‘fight nationalists’ and conservative governments throughout the world, which he commonly refers to as ‘authoritarian governments.’
George Soros’ sponsorship of the V-Dem Institute reveals a lot about the organization’s intentions toward India. Soros has publicly expressed his hatred for India and has often denounced the Indian government led by Prime Minister Narendra Modi. His support for an organization that ranks India as a dying democracy highlights the hollowness of the institute’s findings.
About Open Society Foundation and George Soros
In 1999, the Open Society Foundation began activities in India by providing scholarships and fellowships to pursue studies and research at Indian colleges. Through the OSF, George Soros made significant contributions towards the spread of instability in India.
By actively supporting anti-India groups operating within India, the left-wing international organization led by Soros stretched its claws across the country in the pretext of undertaking humanitarian initiatives. Since its inception in India, OSF has attempted to meddle in the country’s internal affairs through a wide and linked network of organizations sponsored by George Soros. These organizations play a critical role in distorting the actual narrative and using the judiciary and the media to obstruct the national interest.
George Soros has fostered a class of intellectuals that fight steadfastly against the Indian state, particularly the nationalist government led by Prime Minister Narendra Modi, through his web of NGOs.
The Open Society Foundation has been a beneficiary to left-leaning intelligentsia who have regularly put forth false narratives against the present government, in addition to sponsoring media. Harsh Mander, Pratap Bhanu Mehta, Indira Jaising, and Amartya Sen are among the most well-known among them.
George Soros has repeatedly demonstrated his eagerness to wage war against India’s nationalist government over the last few decades.
Repeated reports featuring decline in democratic tendencies in India
The Democracy Report by V-Dem is not the first of its kind. There have been repeated reports coming in the past that have portrayed India in a bad light. The V-Dem itself labelled India as an “electoral autocracy” in the last year’s Democracy Report.
Similarly, last year in March, Freedom House, a human rights “watchdog” based in the United States, degraded India from “Free” to “Partly Free.” According to the study, more than 50 people, largely Muslims, were murdered in communal violence that followed protests relating to the Citizenship Amendment Act in February 2020, which contributed to India’s “downgrading.”
The watchdog claimed that “India’s status declined from Free to Partly Free due to a multiyear pattern in which the Hindu nationalist government and its allies have presided over rising violence and discriminatory policies affecting the Muslim population and pursued a crackdown on expressions of dissent by the media, academics, civil society groups, and protesters”.
Though the report’s bias was obvious, as it was US-based produce, the organization’s history makes the Freedom House’s attitude towards India much more problematic.
Freedom House: A mouthpiece of George Soros and US Government
Freedom House is an institution that is heavily funded by the United States Government. According to its 2016 financial statement, the US government provided 86 percent of Freedom House’s earnings.

The US government raised its support of the Freedom House organization to 94 percent in 2019.

Similarly, the Open Society Foundation, which is owned by the famed billionaire George Soros, counts Freedom House as one of its benefactors.
On its website, Open Society Foundation says, “Partnerships with other donors contribute significantly to the work of the Open Society Institute and the Soros foundations network. In some instances, these partnerships involve explicit agreements with other donors to share costs. At other times, they take place informally when another donor determines to support a project OSI has initiated or, conversely, when we build upon another donor’s initiative. In some cases, other donors contribute directly to one of the Soros foundations in support of a particular project”.
In this regard, OSF clearly mentions Freedom House in the same document.

As a result, it becomes evident that Freedom House is an instrument of the US establishment and has ties with George Soros, who has officially declared war on nationalist governments and leaders, especially identifying Prime Minister Narendra Modi as one of his targets.
Congress and The Wire using such reports to target the Modi government
To voice his discontent with the Modi government, Congress leader Shashi Tharoor resorted to a study by the left-leaning media outlet The Wire, which was based on the V-Dem Institute’s Democracy Report.
Tharoor took to Twitter and quoted The Wire expressing his frustration for the current government led by Narendra Modi. He wrote, “Sad to note a 23% decline in India’s Democracy rating by the globally-respected @vdeminstitute since 2013: https://thewire.in/rights/india-among-top-10-autocratising-nations-democratic-slide-to-continue-v-dem-institute The people of India want, & deserve, #DemocracyNotAutocracy”
Sad to note a 23% decline in India’s Democracy rating by the globally-respected @vdeminstitute since 2013: https://t.co/6KxNRCFaY8 The people of India want, & deserve, #DemocracyNotAutocracy
— Shashi Tharoor (@ShashiTharoor) March 5, 2022
Interestingly, Tharoor even spread misinformation by sharing that a 23% decline has been reported by V-Dem Institute. The current report by the V-Dem institute has not mentioned anywhere the percentage decline of any rating.
The Congress party along with left liberals have time and again spread such reports in an attempt to tarnish the image of India domestically and globally.
Democracy report during war between Russia and Ukraine
The report published by the V-Dem institute during the ongoing war between Russia and Ukraine finds no logical justification. When two nations are fighting a war and the west is clandestinely involved making the situation more complex, a report that rates countries for their democracy makes no sense.
It is well established that the V-Dem Institute and Freedom House are puppets of people like George Soros, and that they operate under their orders to destabilize emerging economies like India. These reports might well be compiled utilizing a variety of statistical sources, but the gathering of data to produce well-intentioned outcomes is pretty much discernible in the endorsements and connections of the organizations that produce them.
The multitude of facts and links stated above make it crystal clear that propagandistic reports published by organizations such as the V-Dem Institute and Freedom Express demonstrate how international powers and non-state actors interfere in the internal workings of other democracies to achieve their policy agenda. What’s more alarming is that these attempts to utilize propaganda to urge foreign meddling in India’s domestic affairs have received support from left liberals and political parties like the Congress in India.


